ROIP Filters
ROIP
Path Filter
Path Filter could be used to increase voice quality.
RC curcuit


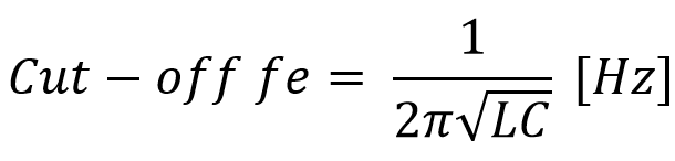
LC curcuit

We think LC is better. But it is not easy to make a cable.

Path Filter could be used to increase voice quality.
We think LC is better. But it is not easy to make a cable.